Login

Gravitational Force: Definition, Equation & Examples

An error occurred trying to load this video.

Try refreshing the page, or contact customer support.

Coming up next: What is Specific Gravity? - Definition, Formula, Calculation & Examples

You're on a roll. Keep up the good work!

Take Quiz Watch Next Lesson
 Replay
Your next lesson will play in 10 seconds
  • 0:00 What is Gravitational Force?
  • 0:55 Universal Gravitation Equation
  • 1:35 Inverse Square Law
  • 2:05 Example
  • 3:00 Lesson Summary
Add to Add to Add to

Want to watch this again later?

Log in or sign up to add this lesson to a Custom Course.

Login or Sign up

Timeline
Autoplay
Autoplay
Create an account to start this course today
Try it free for 5 days!
Create An Account

Recommended Lessons and Courses for You

Lesson Transcript
Instructor: David Wood

David has taught Honors Physics, AP Physics, IB Physics and general science courses. He has a Masters in Education, and a Bachelors in Physics.

You probably have an idea of what gravity is, but did you know that you, right now, are actually pulling on every other object in the universe? Find out more about the gravitational force and learn an equation to calculate its pull on other objects.

What is the Gravitational Force?

The universe has a lot of forces, a lot of pushes and pulls. We're always pushing or pulling something, even if only the ground. But it turns out that in physics, there are really only four fundamental forces from which everything else is derived: the strong force, the weak force, the electromagnetic force, and the gravitational force.

The gravitational force is a force that attracts any two objects with mass. We call the gravitational force attractive because it always tries to pull masses together, it never pushes them apart. In fact, every object, including you, is pulling on every other object in the entire universe! This is called Newton's Universal Law of Gravitation. Admittedly, you don't have a very large mass and so, you're not pulling on those other objects much. And objects that are really far apart from each other don't pull on each other noticeably either. But the force is there and we can calculate it.

Sir Isaac Newton
Sir Isaac Newton

Universal Gravitation Equation

This equation describes the force between any two objects in the universe:

Universal Gravitation Equation

In the equation:

  • F is the force of gravity (measured in Newtons, N)
  • G is the gravitational constant of the universe and is always the same number
  • M is the mass of one object (measured in kilograms, kg)
  • m is the mass of the other object (measured in kilograms, kg)
  • r is the distance those objects are apart (measured in meters, m)

So if you know how massive two objects are and how far they are apart, you can figure out the force between them.

Inverse Square Law

Notice that the distance (r) on the bottom of the equation is squared. This makes it an inverse square law. Because of this, if you double the distance between two objects, you reduce the gravitational force between them to a quarter of what it was. Or if you triple the distance between them, you reduce the force to a ninth of what it was. Or if we go the other way, halving the distance between two objects multiplies the force by a factor of four. This can be used to make rough comparisons between situations.

Einstein described gravity as a curve in spacetime.
Gravity: Einstein described it as a curve in spacetime.

Example

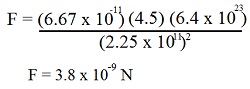
Let's go through an example of how to use the equation. Let's try to calculate the force between an adorable baby and the planet Mars!

An adorable baby

The Planet Mars

To unlock this lesson you must be a Study.com Member.
Create your account

Register for a free trial

Are you a student or a teacher?
I am a teacher
What is your educational goal?
 Back

Unlock Your Education

See for yourself why 10 million people use Study.com

Become a Study.com member and start learning now.
Become a Member  Back

Earning College Credit

Did you know… We have over 95 college courses that prepare you to earn credit by exam that is accepted by over 2,000 colleges and universities. You can test out of the first two years of college and save thousands off your degree. Anyone can earn credit-by-exam regardless of age or education level.

To learn more, visit our Earning Credit Page

Transferring credit to the school of your choice

Not sure what college you want to attend yet? Study.com has thousands of articles about every imaginable degree, area of study and career path that can help you find the school that's right for you.

Create an account to start this course today
Try it free for 5 days!
Create An Account
Support